xxx 1小时前
xxxxxxxx
近年来,一些商标抢注者玩起了“国外商标、国内抢注”的把戏。
抢注者在亚马逊、eBay、沃尔玛等电商平台上反复搜罗,筛选出销量稳定、增长迅速的卖家,并将这些卖家的海外商标,在中国批量注册为国内商标,然后向他们索要高额的许可费或转让费。
一些卖家的海外商标在国内被抢注之后,被索赔10万、28万不等的商标转让费,如果卖家不同意,抢注者就会在海关对卖家的货物出口进行“卡脖子”。
针对商标行业的乱象,管理机关做出了最新的回应。
2025年底,全国人大常委会通过了《商标法(修订草案)》(以下简称《修订法案》)首次审议,有望更加有效地遏制商标恶意抢注的行业乱象。
依照该“修订草案”精神,“注册后不使用、长期囤积等待套利”等行为,将被禁止。商标必须服务于真实生产和实际经营,而不能作为反复转手、投诉和索赔的获利工具。
《修订草案》对于做抢注生意的“商标刺客”来说,无异于一记重拳,而对于在亚马逊、eBay上做生意的跨境电商卖家来说,是一个好消息。
01.
商标抢注者的生意,将告终结
近年来,一批跨境卖家的外文商标在国内被抢注,其中,美国商标被抢注的情况尤为频发,使许多卖家遭受了损失。
一位卖家在美国注册商标之后,却“忘记”在中国注册对应的商标,结果其美国商标被福建一职业抢注者注册了。该抢注者一口气注册了几十个商标,对其进行了密集的“防御”。虽然该抢注者同意转让商标,但要价高达28万元。
近年来,抢注海外商标,已经被一些公司做成了流程化、标准化的生意。
例如,一家公司在国内批量注册亚马逊热卖的品牌商标,覆盖服装、电子产品、化妆品等类目。这些商标所对应的卖家,大多已经在亚马逊等平台上跑出了稳定销量,甚至登上Best Seller榜单。
该公司抢注完商标后,还到海关进行备案。如果卖家的货物被其举报或者被海关抽查到后,就会被认定为侵权,导致出货被中断。
一位卖家在海关出货时,就被查到侵犯了“商标”。海关给抢注者发了邮件,抢注者回复了邮件,确认“其商标被侵权”,并交了2万元保证金,要求海关把卖家的货物扣下来。
卖家不得不与抢注者进行沟通。最终,抢注者开出的和解金额高达数万元,而卖家货值不过几千元。即便金额不对等,如果卖家选择不和解,仍有可能面临被罚款风险。
此时,主动权已不在卖家手中。为了避免货物扣押、罚款,不少卖家只能支付高额授权费或转让费,以换取货物放行。
业内分析人士称,这些商标抢注者很可能是根据亚马逊BSR(Bestseller)榜单来收集商标,确认这些商标所有者在亚马逊上有了一定的销量,然后批量注册,只要押中其中一部分,便可以得到不错的回报。相反,如果卖家的销量很小,或者没有提升销量的潜力,这些抢注者一般不会花钱去注册。
如今,这一行业乱象,引起了有关部门的注意。
2025年底,《商标法(修订草案)》通过全国人大常委会首次审议。这次商标法的修改,是一次全面系统的修改。
《商标法(修订草案)》的核心变化,在于重塑商标的价值取向,“是否真实使用”“是否具备识别功能”将成为商标存续的前提。跨境电商卖家可注意《商标法(修订草案)》中的几个重要信息:
一、如果商标的申请主体不以实际使用为目的,且明显超出正常生产经营需要,将不予注册。这意味着,过去依靠批量申请、先占坑位、再转让和索赔的通道被堵上了,商标必须回归到“真实经营”的这一基本属性。
二、打击恶意诉讼行为:对于恶意提起商标诉讼的,依法给予处罚,造成损失的,依法承担民事责任。
近年来,一些被恶意抢注的商标,诸如“树上熟”“千禾0”等恶意抢注的商标,也被宣告无效。这意味着,国家知识产权商标局对行业乱象的打击力度不断加大。
二、针对商标“重注册、轻使用”的问题,《修订草案》完善了商标的退出机制:一旦注册商标成为通用名称(如阿司匹林,原本是商标,如今成为通用名称),或连续三年无正当理由未实际使用,国务院商标管理部门可以依法主动撤销该商标。这一变化,将有效减少“僵尸商标”和“囤积商标”的行为,让一些商标及时退出市场,而不是长期占据公共资源。
三、监管的矛头也指向了问题频发的商标代理环节:《修订草案》明确提出,要强化对商标代理行业的监管,针对代理机构恶性竞争、违规操作,以及协助恶意抢注、囤积商标等行为,要通过提高违法成本,压缩灰色操作空间,以引导代理市场朝合规化发展。
该《修订草案》一旦生效,将为跨境电商起到了“清障”的作用。当商标不再频繁地被用作索赔或套利的工具时,卖家才能更好地聚焦于产品、服务,也才有可能将商标沉淀为可持续的竞争优势和资产,并实现真正的品牌出海。
02.
1.9万件商标被查,一批跨境卖家商标或将作废
商标的作用很大,往往牵一发动全身。除了恶意抢注的问题,跨境电商卖家在委托代理注册海外商标时,也会踩到许多坑。
近期,美国专利商标局(USPTO)对一家深圳知识产权服务机构,启动了大规模的商标审查行动,这些商标涉及3C、家居、服装等跨境电商热门品类。

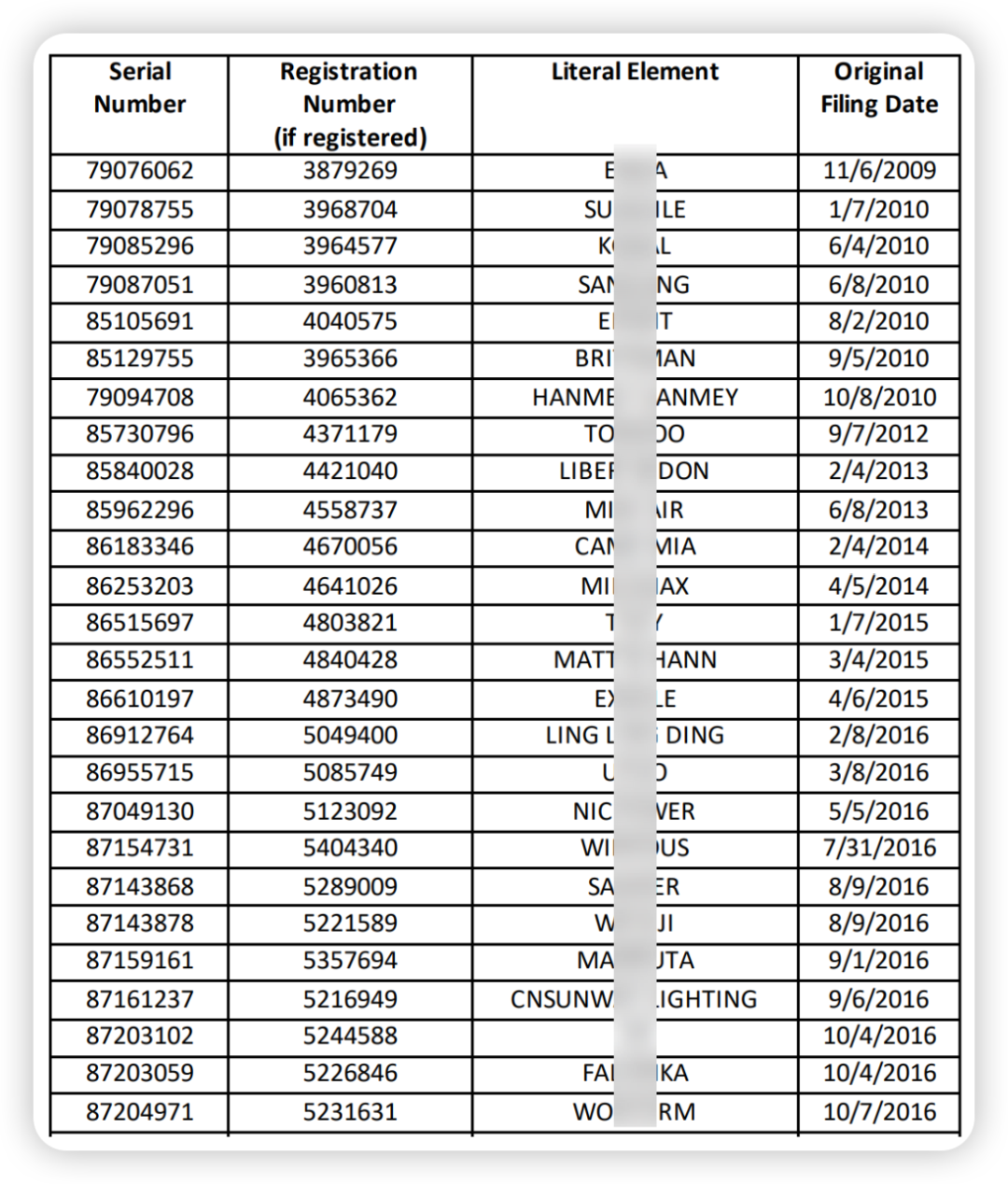
USPTO称,该机构并不具有美国律师从业资格,却提交了超1.9万份代理商标文件,涉嫌伪造律师签名、多人共用USPTO账户、提交虚假使用声明、邮件地址等一系列严重违规行为。受此影响,已有超1.5万件美国商标申请或注册记录被纳入审查范围。
其中,该服务商于2009年-2020年提交注册的3361个当前处于“非终止状态”的活跃商标,已被列入重点审查名单,相关权利人需在2026年2月26日前提交有效、合规的书面回应,否则这些商标将面临直接作废的风险。

针对上述违规行为,USPTO或将永久禁止涉事公司及其雇员、代理人,向USPTO提交任何商标相关文件;作废其此前提交的全部材料,并从官方数据库删除对应联系信息;停用涉事的USPTO账户,并封禁关联的缴费信用卡;终止所有正在审查流程中的申请;同时,对已获批的商标注册重新启动审查程序,这意味着部分已下证的美国商标,也可能直接失效。
此次监管行动,将对一批跨境电商卖家造成巨大的损失。
这些案涉商标中,包含了大量已在美国亚马逊、eBay等主流电商平台,完成品牌备案的中国卖家商标,平台可能撤销卖家的品牌备案,甚至将店铺标记为“品牌滥用”,还可能触发多店铺关联审查或封禁风险。一旦商标被USPTO正式撤销,卖家在美国市场将失去合法的品牌维权基础,更容易遭遇侵权、跟卖等问题。
即便卖家选择重新申请美国商标,也将投入大量的时间和精力,同时还可能因原有同名商标,而遭遇申请冲突,影响品牌的连续运营。
如果卖家能够证明自身并无欺诈或违规等主观意图,可在2月26日前,通过具有美国执业资质的律师,向USPTO提交正式书面申诉,以争取保留商标或降低损失。

这一事件也对其他跨境卖家敲响了警钟,卖家应尽快对自身的商标进行自查,必要时采取紧急应对措施。
一方面,通过USPTO官网或委托美国持牌律师,确认商标是否涉及此次风险名单,并同步核查跨境平台的品牌备案状态。若商标确在风险范围内且已完成备案,应评估是否提前主动撤销,以避免触发平台对店铺的进一步处罚;同时,可着手以“同名同类”的方式重新提交商标申请,准备真实、可核验的使用证据,为旧商标替换预留时间窗口。
此外,卖家还需核对既往商标申请材料的真实性与合规性,重新审视所合作的知识产权服务机构。合作前,务必要求对方明确提供美国执业律师的全名及州律师协会编号,并通过官方渠道核验资质;若涉事商标曾授权给其他店铺,应第一时间解除授权,防止风险进一步扩大。
值得注意的是,这并非USPTO首次重拳出手。早在2025年8月,USPTO就曾集中撤销超4.2万件存在问题的商标注册。此次针对代理机构的重点整治,再次表明跨境卖家的运营,需要格外重视商标的合规性、合法性,减少不必要的损失。(文/蓝海亿观)
部分数据基于一定样本的调查及研究;网站访问数据、销量数据,在不同的时期会有波动,仅供参考。




.jpg)
高级回复

